.jpg)
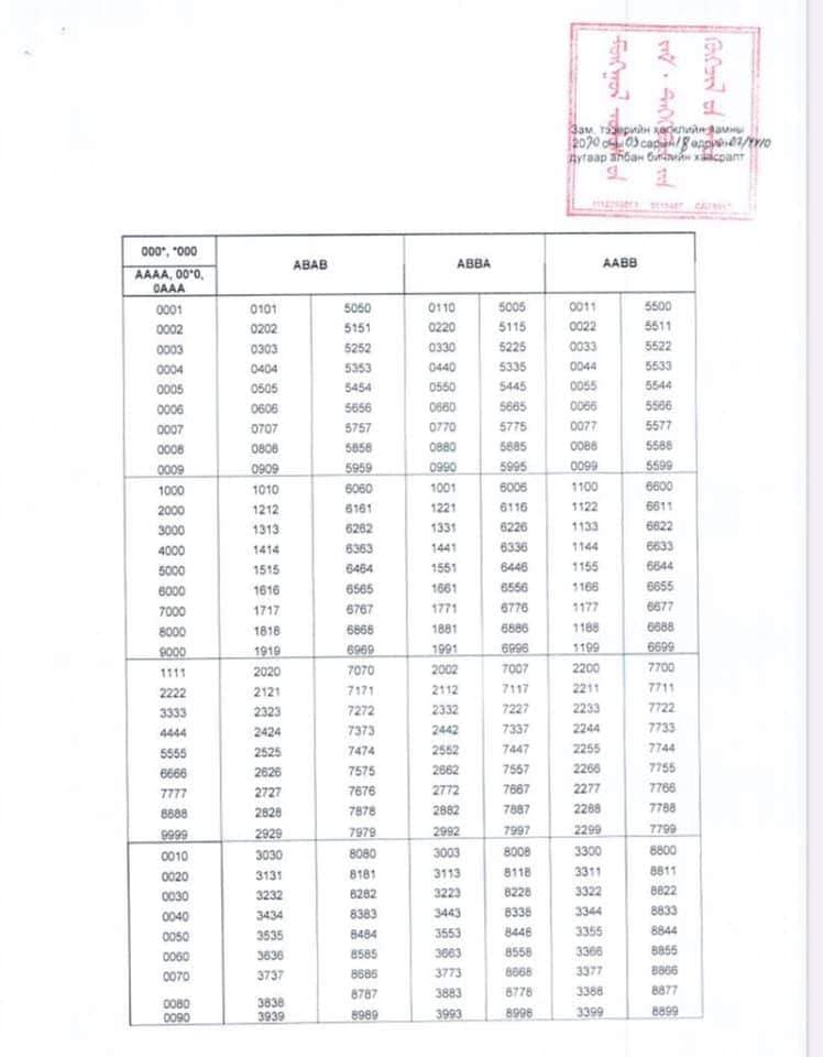
Автомашины азын гэх дугааруудыг Шуурхай алба болон тохижилт үйлчилгээний машинуудад олгох үүргийг Зам, тээврийн хөгжлийн яамнаас Автотээврийн үндэсний төвд даалгасан байна.
Манай улсад азын гэж нэрлэгддэг дугаарыг дамлан зардаг сүлжээ бий болсныг хаа хаанаа мэдэж буй. Санамсаргүй байдлаар сонгон олгохоор программчлагдсан дугаар олголтын цахим бүртгэлээс азын дугаарыг сонгон авч дамлан зарж байгаа асуудлыг цагдаагийн байгууллага шалгаж байгаа гэсэн мэдээллийг холбогдох албаныхан өмнө нь өгч байсан билээ.
Тэгвэл харьяа яамны зүгээс ийнхүү азын дугаарыг иргэдэд бус Шуурхай алба,тохижилт үйлчилгээний машинуудад олгох үүрэг өглөө.



Сэтгэгдэл ( 2 )
Буруу дуудлагаар худалд
Good