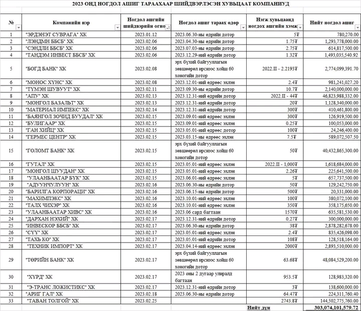
Нэр бүхий 33 хувьцаат компани нийт 303.7 тэрбум төгрөгийн ногдол ашиг хувьцаа эзэмшигчдэд олгохоор шийдвэрлэжээ.
Санхүүгийн зохицуулах хорооноос өгч буй мэдээллийг хүргэхэд, Компанийн тухай хуулийн 46.5-д хувьцаат компанийн төлөөлөн удирдах зөвлөл нь санхүүгийн жил дууссанаас хойш 50 хоногийн дотор ногдол ашиг хуваарилах эсэх талаар хэлэлцэн шийдвэрлэж, энэ тухай Санхүүгийн зохицуулах хороонд мэдэгдэхээр хуульчлагдсан.
Хуульд заасан хугацаа дуусгавар болсон буюу энэ сарын 20-ны өдрийн байдлаар 68 хувьцаат компаниас ногдол ашиг хуваарилах эсэх талаар шийдвэрийг ирүүлснээс нэр бүхий 33 хувьцаат компани 303.07 тэрбум төгрөгийн ногдол ашгийг хуваарилах мэдээллээ Санхүүгийн зохицуулах хороонд ирүүлж, олон нийтэд мэдээлсэн байна.
2019 онд 112.1 тэрбум, 2020 онд 132.7 тэрбум, 2021 онд 110.5 тэрбум, 2022 онд 150.8 тэрбум төгрөгийн ногдол ашгийг тус тус хуваарилахаар шийдвэрлэсэн бол 2023 онд 303.07 тэрбум болон өсжээ.
Санхүүгийн зохицуулах хорооноос үнэт цаасны зах зээлд шударга, үр ашигтай, өрсөлдөөн бүхий, ил тод байдлыг хэвшүүлэхэд шаардлагатай гэж үзсэн арга хэмжээг авч хэрэгжүүлэх бүрэн эрхийнхээ хүрээнд Хорооны 2020 оны 28 дугаар “Ногдол ашиг тараах ажиллагааг нарийвчлан тогтоох тухай” тогтоолын хэрэгжилтэд тогтмол хяналт тавин ажиллаж байна гэв.


Сэтгэгдэл ( 3 )
End minii congocon birj baixgvi baina tegxeer ter egexgvi baigaa birjeecee xywtsaagaa yaj awax we eer gajart egmeer baina
Авмаар бн
Энэ бусад яах вэ