Улаанбаатар хотын агаарын чанар өнгөрсөн долоо хоногт буюу 1 дүгээр сарын 10-16-ны хооронд ямар байсныг хүргэе.
Өнгөрсөн долоо хоногийн агаарын чанарын хяналт шинжилгээний дүнгээр Улаанбаатар хотын агаарын чанар Хайлааст орчим “Их бохирдолтой”, 1-р хороолол, Баруун 4-н зам орчим “Бохирдолтой”, бусад цэгт “Бага бохирдолтой” түвшинд хүрсэн гэж Цаг уур, орчны шинжилгээний газраас мэдээлж байна.
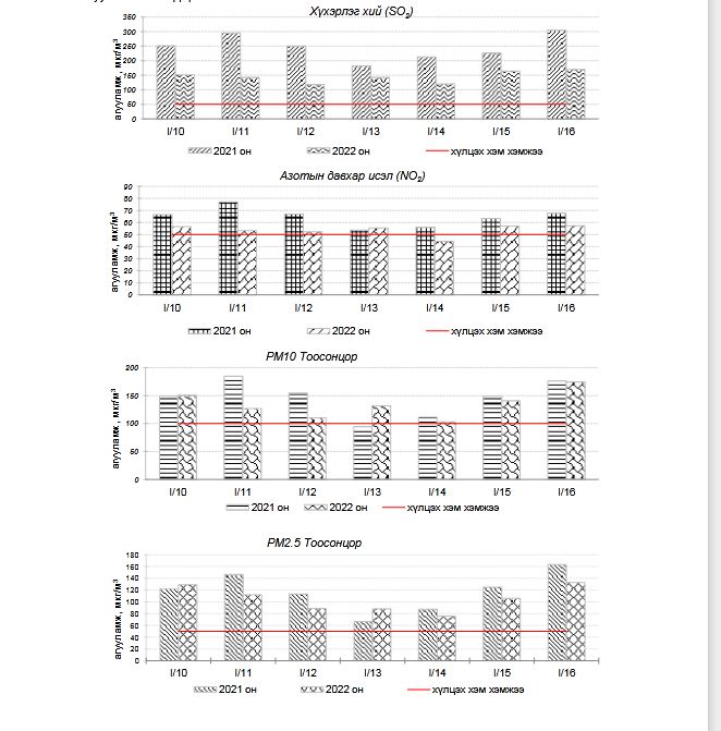
Агаарын чанарыг тодорхойлох үүднээс Улаанбаатар хотын агаарт түгээмэл бохирдуулах бодис хүхэрлэг хий /SO2/, азотын давхар исэл /NO2/, тоосонцор /PM10, PM2.5/, нүүрстөрөгчийн дутуу исэл /CO/, озон /O3/-ы агууламжийг тодорхойлоход дараах үзүүлэлтүүд гарчээ.
Тэгэхээр өнгөрсөн долоо хоногийн судалгаагаар Хайлааст орчимд зургаан өдрийн туршид агаарын чанар Бохирдолтой, Их Бохирдолтой гэсэн түвшинд байсан байна.
Тодотгоход, Агаарын чанар Бохирдолтой түвшинд байгаа үед Хүний эрүүл мэндэд сөрөг нөлөөлөл илэрч эхэлнэ. Хэт мэдрэг хүмүүсийн эрүүл мэндэд сөрөг нөлөөлөл хүндээр илэрдэг аж.
Харин Их Бохирдолтой үед “Удаан хугацаагаар гадаа байхад хүний эрүүл мэндэд мэдэгдэхүйц сөрөг нөлөөлөл үзүүлж болно” гэсэн мэдээллийг өгч байна.

Сэтгэгдэл ( 0 )