Нийслэлийн цэцэрлэгт хамрагдах хүсэлтийг 2023 оны наймдугаар сарын 1-ний өдрөөс авч эхэлсэн. Бүртгэл энэ сарын 20-ны өдрийг дуустал үргэлжилнэ.
Бүртгэлийн шугам нээгдсэн 3 хоногийн хугацаанд 50137 хүүхэд "E-MONGOLIA" системээр дамжуулан бүртгэлээ хийлгээд байна.
Улаанбаатар хотод цэцэрлэгийн насны 142,798 хүүхэд оршин сууж байна. Тэгэхээр нийт хүүхдүүдийн 30 гаруй хувь нь 3 хоногт бүртгэлээ баталгаажуулжээ.
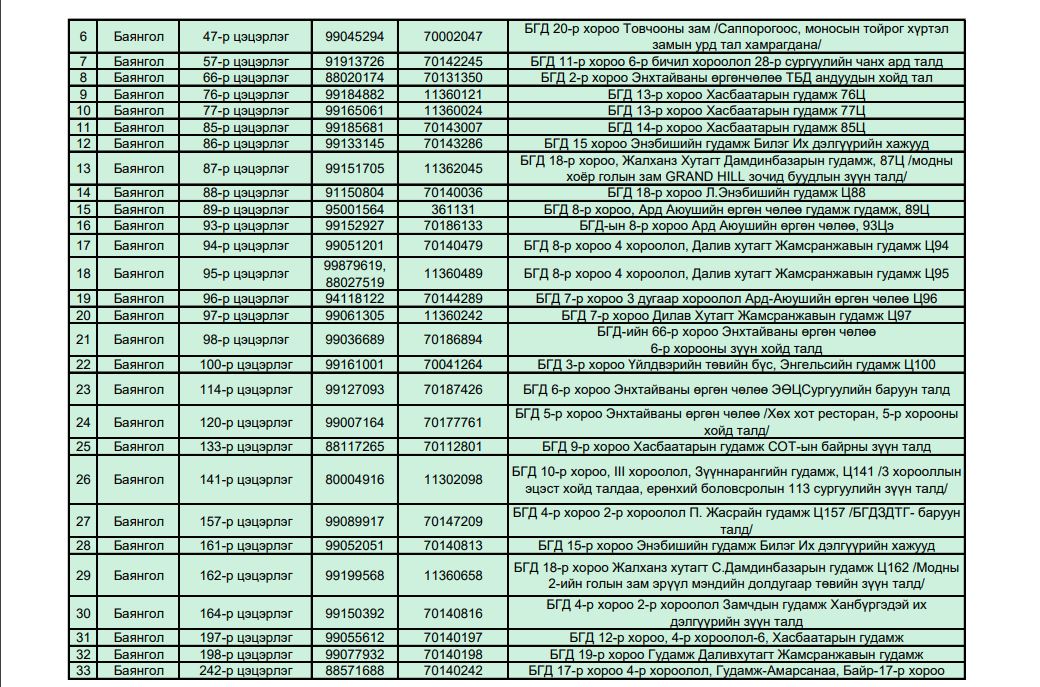
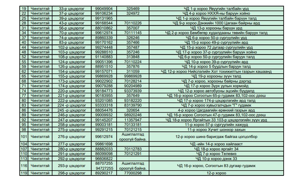
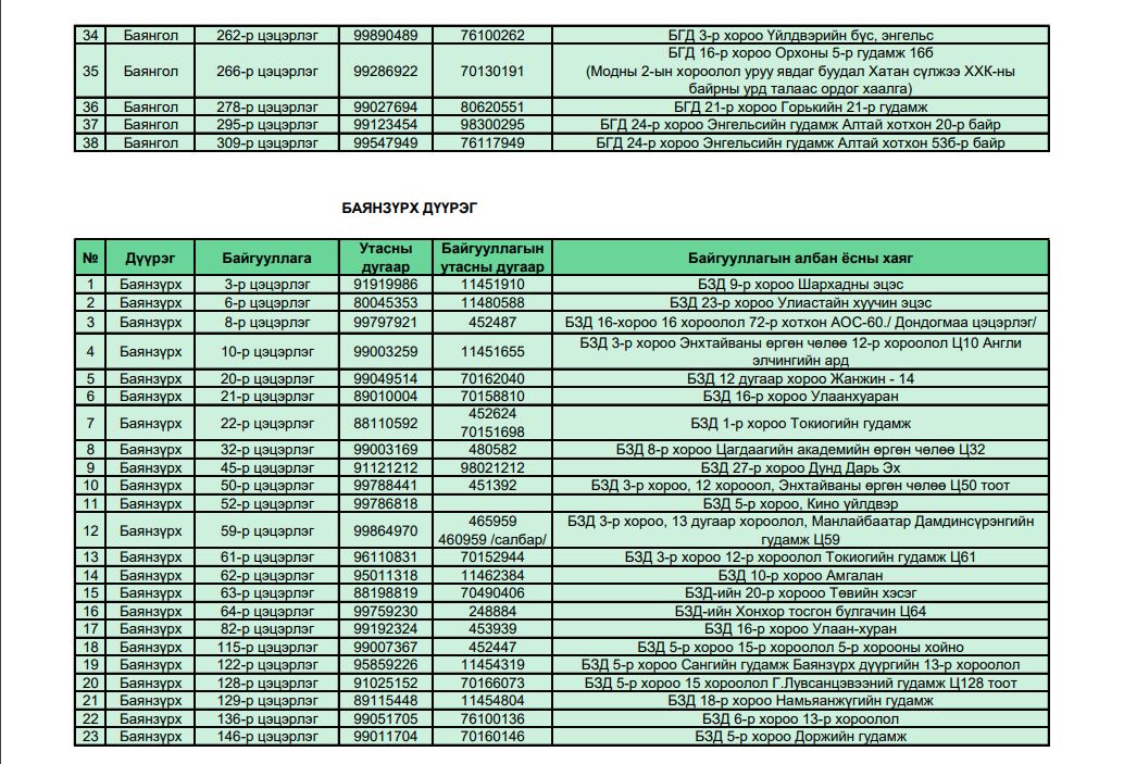
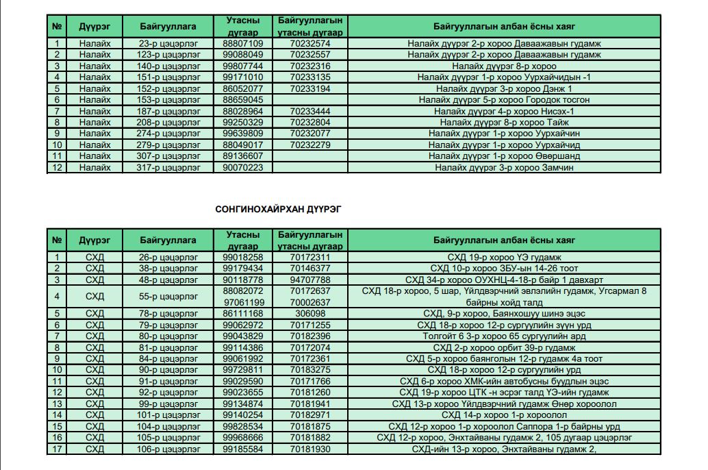
Та доорх жагсаалтаас хүүхдээ харьяаллын дагуу аль цэцэрлэгт орохыг харна уу!
Цэцэрлэгт бүртгүүлэх ЗААВАР ба АНХААРАХ ЗҮЙЛСИЙН талаар мэдээлэл авах бол ЭНД ДАРНА УУ!

Сэтгэгдэл ( 1 )
Хувийн цэцэрлэгүүд орохоо больсон юмуу